Class 8 Maths Ganita Prakash Chapter 6 We Distribute, Yet Things Multiply NCERT Solutions

Class 8 Maths Ganita Prakash Chapter 5 We Distribute, Yet Things Multiply NCERT Solutions

Figure it out, Page 142

Question 1. Observe the multiplication grid below. Each number inside the grid is formed by multiplying two numbers. If the middle number of a 3 × 3 frame is given by the expression pq, as shown in the figure, write the expressions for the other numbers in the grid.

Question 2. Expand the following products.

(i) (3 + u) (v – 3)
(ii) 2/3 (15 + 6a)
(iii) (10a + b) (10c + d)
(iv) (3 – x) (x – 6)
(v) (–5a + b) (c + d)
(vi) (5 + z) (y + 9)

Question 3: Find 3 examples where the product of two numbers remains unchanged when one of them is increased by 2 and the other is decreased by 4.

Question 4: Expand (i) (a + ab – 3b2) (4 + b), and (ii) (4y + 7) (y + 11z – 3).

Question 5: Expand (i) (a – b) (a + b), (ii) (a – b) (a2 + ab + b2) and (iii) (a – b)(a3+ a2 b + ab2+ b3), Do you see a pattern? What would be the next identity in the pattern that you see? Can you check it by expanding?

Figure it out, Page 149

Question 1: Which is greater: (a – b)2 or (b – a)2 ? Justify your answer.

Question 2: Express 100 as the difference of two squares.

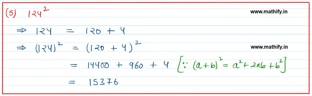
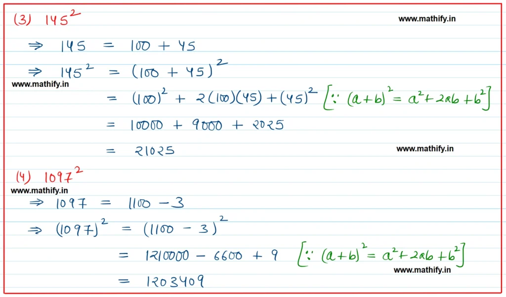
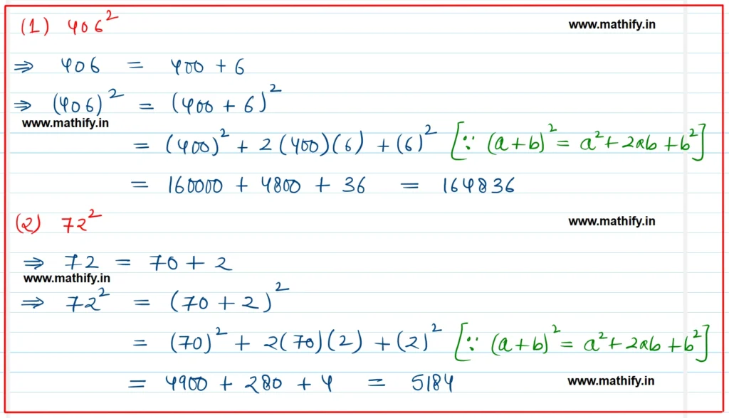
Question 3: Find 4062, 722, 1452, 10972, and 1242 using the identities you have learnt so far.

Question 4: Do Patterns 1 and 2 hold only for counting numbers? Do they hold for negative integers as well? What about fractions? Justify your answer.

Figure it Out Page 156

Question 1: Compute these products using the suggested identity.

(i) 462 using Identity 1A for (a + b)2

(ii) 397 × 403 using Identity 1C for (a + b) (a – b)

(iii) 912 using Identity 1B for (a – b)2

(iv) 43 × 45 using Identity 1C for (a + b) (a – b)

Question 2: Use either a suitable identity or the distributive property to find each of the following products.
(i) (p – 1) (p + 11)
(ii) (3a – 9b) (3a + 9b)
(iii) –(2y + 5) (3y + 4)
(iv) (6x + 5y)2
(v) (2x – 1/2)2
(vi) (7p) × (3r) × (p + 2)

Question 3: For each statement, identify the appropriate algebraic expression(s).

(i) Two more than a square number.

(1) 2 + s   
(2) (s + 2)2
(3) s2 + 2   
(4) s2 + 4   
(5) 2s2
(6)22s

(ii) The sum of the squares of two consecutive numbers

(1) m2 + n2
(2) (m + n)2
(3) m2 + 1
(4) m2 + (m + 1)2
(5) m2+ (m – 1)2
(6) (m + (m + 1))2
(7) (2m2) + (2m + 1)2

(i) Two more than a square is s2 + 2

(ii) Sum of the squares of two consecutive numbers is m2 + (m + 1)2

Question 4: Consider any 2 by 2 square of numbers in a calendar, as shown in the
figure.

Find products of numbers lying along each diagonal — 4 × 12 = 48, 5 × 11 = 55. Do this for the other 2 by 2 squares. What do you observe about the diagonal products? Explain why this happens. Hint: Label the numbers in each 2 by 2 square as

aa + 1
a + 7a + 8

Case – I

67
1314

Here, 6 x 14 = 84

13 x 7 = 91

Difference = 91 – 84 = 7

Case – II

910
1617

Here, 9 x 17 = 153

10 x 16 = 160

Difference = 160 – 153 = 7

We observe that the difference of the diagonal products in both cases is always 7.

Question 5: Verify which of the following statements are true.

(i) (k + 1) (k + 2) – (k + 3) is always 2.

(ii) (2q + 1) (2q – 3) is a multiple of 4.

(iii) Squares of even numbers are multiples of 4, and squares of odd numbers are 1 more than multiples of 8.

(iv) (6n + 2)2 – (4n + 3)2 is 5 less than a square number.

(i) (k + 1) (k + 2) – (k + 3) is always 2.

(ii) (2q + 1) (2q – 3) is a multiple of 4.

(iii) Squares of even numbers are multiples of 4, and squares of odd numbers are 1 more than multiples of 8.

(iv) (6n + 2)2 – (4n + 3)2 is 5 less than a square number.

Solution:

Let n = 2, (6 × 2 + 2)2 – (4 × 2 + 3)2

= 142 – 112

= 196 – 121

= 75

= 80 – 5

But 80 is not a square number.

∴ The statement is false.

Question 6. A number leaves a remainder of 3 when divided by 7, and another number leaves a remainder of 5 when divided by 7. What is the remainder when their sum, difference, and product are divided by 7?

Question 7. Choose three consecutive numbers, square the middle one, and subtract the product of the other two. Repeat the same with other sets of numbers. What pattern do you notice? How do we write this as an algebraic equation? Expand both sides of the equation to check that it is a true identity.

Question 8. What is the algebraic expression describing the following steps—add any two numbers. Multiply this by half of the sum of the two numbers? Prove that this result will be half of the square of the sum of the two numbers.

Question 9. Which is larger? Find out without fully computing the product.

(i) 14 × 26 or 16 × 24
(ii) 25 × 75 or 26 × 74

Question 10. A tiny park is coming up in Dhauli. The plan is shown in the figure. The two square plots, each of area g2 sq. ft., will have a green cover. All the remaining area is a walking path w ft. wide that needs to be tiled. Write an expression for the area that needs to be tiled.

Question 11: For each pattern shown below,

(i) Draw the next figure in the sequence.
(ii) How many basic units are there in Step 10?
(iii) Write an expression to describe the number of basic units in Step y.

Leave a Reply

Your email address will not be published. Required fields are marked *