NCERT Class 8 Solutions Chapter 2 Power Play (2025-26)
NCERT Solutions for Class 8 Maths – Chapter 2: Power Play (Ganita Prakash, 2025–26 Edition)
The updated NCERT solutions for Class 8 Maths Chapter 2 Power Play are designed to align with the latest CBSE syllabus for the 2025–26 academic session. This chapter introduces students to the concept of powers and exponents, showing how they simplify large numbers and apply to real-life situations.
Each solution is presented in a clear, step-by-step format to ensure thorough understanding. The language is simple and student-friendly, making it easy to grasp even complex ideas. Diagrams, relatable examples, and visual aids add a fun and interactive touch to learning.
These solutions are ideal for school exam preparation and daily practice, helping students build confidence and accuracy in solving exponent-based problems.
NCERT In-Text Question Page – 19
Question: Say you can fold a sheet of paper as many times as you wish. What would its thickness be after 30 folds? Make a guess. Let’s also find out how thick a sheet of paper will be after 46 folds. Assume that the thickness of the sheet is 0.001 cm.
Solution:-


Question: Fill the table below



Solution:-
Question: Now, What do you think the thickness would be after 30 folds? 45 and 46 folds? Make a gues.
Solution:-
NCERT In-Text Question Page (22 – 23)
Question: Which expression describes the thickness of a sheet of paper after it is folded 10 times? The initial thickness is represented by the letter-number v.
(I) 10v
(ii) 10 + v
(iii) 2 x 10 x v
(iv) 210
(v) 210v
(vi) 102v
Solution:-

Question: What is (- 1)5 ? Is it positive or negative? What about (-1)56?
Solution:-

Question: Is (-2)4 = 16? Varify.
Solution:-

Question: What is 02, 05?
Solution:
02 = 0 x 0 = 0
05 = 0 x 0 x 0 x 0 x 0 = 0
Question: What is 0n?
Solution:
0n = 0 × 0 × 0 × …… n times = 0
Figure it Out
Question 1: Express the following in exponential form:
(i) 6 x 6 x 6 x 6
(ii) y x y
(iii) b x b x b x b
(iv) 5 x 5 7 x 7 x 7
(v) 2 x 2 x a x a
(vi) a x a x a x c x c x c x c x d
Solution:
(i) 6 × 6 × 6 × 6 = 64
(ii) y × y = y2
(iii) b × b × b × b = b4
(iv) 5 × 5 × 7 × 7 × 7 = 52 × 73
(v) 2 × 2 × a × a = 22 × a2
(vi) a × a × a × c × c × c × c × d = a3 × c4 × d1
Question 2. Express each of the following as a product of powers of their price factors in exponential form.
(I) 648
(ii) 405
(iii) 540
(iv) 3600
Solution:-
(i) 648 = 2 × 2 × 2 × 3 × 3 × 3 × 3 = 23 × 34
(ii) 405 = 3 × 3 × 3 × 3 × 5 = 34 × 5
(iii) 540 = 2 × 2 × 3 × 3 × 3 × 5 = 22 × 33 × 5
(iv) 3600 = 2 × 2 × 2 × 2 × 3 × 3 × 5 × 5 = 24 × 32 × 52
Question 3. Write the numerical value of each of the following:
(I) 2 x 103
(ii) 72 x 23
(iii) 3 x 44
(iv) (-3)2 x (-5)2
(v) 32 x 104
(vi) (-2)5 x (-10)6
Solution:-
(i) 2 × 103
= 2 × (10 × 10 × 10)
= 2 × 1000
= 2000
(ii) 72 × 23
= (7 × 7) × (2 × 2 × 2)
= 49 × 8
= 392
(iii) 3 × 44
= 3 × (4 × 4 × 4 × 4)
= 3 × (16 × 16)
= 3 × 256
= 768
(iv) 32 × 104
= {(-3) × (-3)} × {(-5) × (-5)}
= 9 × 25
= 225
(v) 32 × 104
= (3 × 3) × (10 × 10 × 10 × 10)
= 9 × 10000
= 90000
(vi) (-2)5 × (-10)6
= {(-2) × (-2) × (-2) × (-2) × (-2)} × {(-10) × (-10) × (-10) × (-10) × (-10) × (-10)}
= {4 × 4 × (-2)} × {100 × 100 × 100}
= (-32) × (1000000)
= – 32000000
NCERT In-Text Question Page – 24
The Stones that Shine_____
Question: Use this observation to compute the following.
(i) 29
(ii) 57
(iii) 46
Solution:-
(i) 29 = 23 × 23 × 23
= (2 x 2 x 2) x (2 x 2 x 2) x (2 x 2 x 2)
= 8 × 8 × 8
= 512
(ii) 57 = 52 × 52 × 52 × 5
= (5 x 5) x (5 x 5) x (5 x 5) x 5
= 25 × 25 × 25 × 5
= 625 × 125
= 78125
(iii) 46 = 42 × 42 × 42
= (4 x 4) x (4 x 4) x (4 x 4)
= 16 × 16 × 16
= 256 × 16
= 4096
Question: Write the following expressions as a power of a power in at least two different ways:
(I) 86
(ii) 715
(iii) 914
(iv) 58
Solution:-
(i) 86
Two possible ways:
(1) 86 = (83)2
(2) 86 = (82)3
(ii) 715
Two possible ways:
(1) 715 = (73)5
(2) 715 = (75)3
(iii) 914
Two possible ways:
(1) 914 = (92)7
(2) 914 = (97)2
(iv) 58
Two possible ways:
(1) 58 = (52)4
(2) 58 = (54)2
NCERT In-Text Question Page (25)
Magical Pond
In the middle of a beautiful, magical pond lies a bright pink lotus. The number of
lotuses doubles every day in this pond. After 30 days, the pond is completely
covered with lotuses. On which day was the pond half full?
If the pond is completely covered by lotuses on the 30th day, how much of it is covered by lotuses on the 29th day? Since the number of lotuses doubles every day, the pond should be
half covered on the 29th day.
Question:- Write the number of lotuses (in exponential form) when the pond was —
(i) fully covered
(ii) half covered
Solution:-
The number of lotuses doubles every day.
On the 30th day, the pond is fully covered.
So, on the 29th day, the pond must be half full.
Number of lotuses:
Day 1 → 1 = 20
Day 2 → 21
Day 3 → 22
Day 4 → 23
…….
Day 29 → 228
Day 30 → 229
(i) The number of lotuses when the pond was fully covered (Day 30) = 229.
(ii) The number of lotuses when the pond was fully covered (Day 29) = 228.
Question: In general form, ma × na = (mn)a, where a is a counting number. Use this observation to compute the value of 25 × 55
Solution:-
= 25 x 55 = (2 x 5)5 = (10)5
Question: Simplify 104/54 and write it in exponential form.
Solution:-


NCERt In-Text Question Page (24-25)
How Many Combinations
Question: Roxie has 7 dresses, 2 hats, and 3 pairs of shoes. How many different
ways can Roxie dress up? Hint: Try drawing a diagram like the one above
Solution:


Question: Estu and Roxie came across a safe containing old stamps and coins that their great-grandfather had collected. It was secured with a 5-digit password. Since nobody knew the password, they had no option except to try every password until it opened. They were unlucky and the lock only opened with the last password, after they had tried all possible combinations. How many passwords did they end up checking?
Solution:
A 5-digit password means:
- Each position can be any digit from 0 to 9
- Repetition is allowed
- Leading zeroes are allowed (like 00012), because it’s a password, not a number
Count choices for each digit
- 1st digit: 10 choices
- 2nd digit: 10 choices
- 3rd digit: 10 choices
- 4th digit: 10 choices
- 5th digit: 10 choices
Total possible passwords
[10 x 10 x 10 x 10 x 10 = 105 = 1,00,000]
Since the lock opened only on the very last try, they had to check all of them.
✅ Final Answer
Estu and Roxie checked 1,00,000 different passwords. 🔐
Question: Estu says, “Next time, I will buy a lock that has 6 slots with the letters A to Z. I feel it is safer.” How many passwords are possible with such a lock?
Solution:
Let’s count it.
- The lock has 6 slots
- Each slot can be filled with any letter from A to Z
- Number of letters = 26
- Repetition is allowed (since nothing says letters can’t repeat)
Choices for each slot
Each slot has 26 choices.
Total number of passwords
[26 x 26 x 26 x 26 x 26 x 26 = 266]
Let’s compute it step by step:
- (262 = 676)
- (263 = 17,576)
- (264 = 456,976)
- (265 = 11,881,376)
- (266 = 308,915,776)
✅ Final Answer
308,915,776 different passwords (over 30 crore!) 🔐✨
So yes — compared to 100,000 numeric passwords, this lock is much safer.
Question: Think about how many combinations are possible in different contexts. Some examples are—
(i) Pin codes of places in India—The Pin code of Vidisha in Madhya Pradesh is 464001. The Pincode of Zemabawk in Mizoram is 796017.
(ii) Mobile numbers.
(iii) Vehicle registration numbers.
Try to find out how these numbers or codes are allotted/generated.
Solution:
The key idea is:
Even though many combinations are possible, not all are allowed.
Each system follows a fixed pattern so the codes are meaningful and manageable.
(i) PIN codes in India (6 digits)
PIN = Postal Index Number
Structure of a PIN code:A B C D E F
- 1st digit → Postal zone (India has 9 zones)
- 2nd digit → Sub-zone
- 3rd digit → Sorting district
- Last 3 digits → Specific post office
Example:
- 464001 (Vidisha)
- 796017 (Zemabawk)
So PIN codes are not random combinations.
They are carefully allotted by India Post so that:
- Nearby places have similar PINs
- Mail sorting becomes fast and efficient
That’s why some combinations never occur as PIN codes.
(ii) Mobile numbers
In India, mobile numbers usually have 10 digits.
Structure (simplified):
- The first few digits identify:
- Mobile service provider
- Telecom circle (region)
- Remaining digits identify the individual subscriber
Example:
- Numbers often start with 6, 7, 8, or 9
So again:
- Not all 10-digit combinations are allowed
- Numbers are generated and allotted by telecom authorities
- Same number cannot be given to two people at the same time
The system balances:
- Huge number of users
- Easy identification
- Avoiding confusion
(iii) Vehicle registration numbers
Example:
MP 09 AB 1234
Structure:
- MP → State (Madhya Pradesh)
- 09 → RTO (district)
- AB → Series
- 1234 → Vehicle number
Here:
- Letters and numbers follow a fixed order
- When numbers from 0001 to 9999 finish, the letter series changes
- This allows millions of unique registrations in an organised way
Again, combinations exist — but within strict rules.
Big idea (very important)
In mathematics:
- We often count all possible combinations
In real life:
- Combinations are restricted by rules
- Codes are generated systematically, not randomly
- Meaning, location, and identification matter more than just quantity
✨ Conclusion
PIN codes, mobile numbers, and vehicle numbers all use combinations, but they are:
- Structured
- Rule-based
- Purpose-driven
That’s how maths quietly runs the real world 🙂
NCERT In-Text Question Page (27-28, 29)
The Other Side of Powers
Question: What is 2100 ÷ 225 in powers of 2?
Solution:


Question: In a generalised form, na ÷ nb = na – b, where n ≠ 0 and a and b are counting numbers and a > b. Why can’t n be 0?
Solution:
Question: We had required a and b to be counting numbers. Can a and b be any integers? Will the generalised forms still hold true?
Solution:
Question: Write equivalent forms of the following.
(i) 2– 4
(ii) 10–5
(iii) (– 7)–2
(iv) (– 5)– 3
(v) 10–100
Solution:-

Question: Simplify and write the answers in exponential form.
(i) 2–4 × 27
(ii) 32 × 3–5 x 36
(iii) p3 × p–10
(iv) 24 × (– 4)–2
(v) 8p × 8q
Solution:





Power Lines
Question: How many times larger than 4–2 is 42?
Solution:

Question: Use the power line for 7 to answer the following questions.

Solution:








NCERT In-Text Questions Page 30
2.4 Powers of 10
We have used numbers like 10, 100, 1000, and so on when writing Indian numerals in an expanded form. For example:
47561 = (4 × 10000) + (7 × 1000) + (5 × 100) + (6 × 10) + 1.
This can be written using powers of 10 as
47561 = (4 × 104) + (7 × 103) + (5 × 102) + (6 × 101) + (1 × 100).
Question: Write these numbers in the same way: (i) 172, (ii) 5642, (iii) 6374.
Solution:

NCERT In-text Question Page 32
Scientific Notation
Question: Can you say which of the three distances is the smallest?
The distance between the Sun and Saturn is 14,33,50,00,00,000 m = 1.4335 × 1012 m.
The distance between Saturn and Uranus is 14,39,00,00,00,000 m = 1.439 × 1012 m.
The distance between the Sun and Earth is 1,49,60,00,00,000 m = 1.496 × 1011 m.

Solution:
(i) 1.4335 × 1012 m = 14.335 × 1011 m
(ii) 1.439 × 1012 m = 14.39 × 1011 m
(iii) 1.49 × 1011 m
Comparing all three
14.39 × 1011 > 14.335 × 1011 > 1.49 × 1011
Therefore, (iii) 1.49 × 1011 m is the smallest.
Question: The number line below shows the distance between the Sun and Saturn (1.4335 × 1012 m). On the number line below, mark the relative position of the Earth. The distance between the Sun and the Earth is 1.496 × 1011 m.

Solution:


Question: Express the following numbers in standard form.
(i) 59,853
(ii) 65,950
(iii) 34,30,000
(iv) 70,04,00,00,000
Solution:

NCERT Intext Question Page (33, 34, 35)
2.5 Did You Ever Wonder?
Nanjundappa wants to donate jaggery equal to Roxie’s weight and wheat equal to Estu’s weight. He is wondering how much it would cost.

Question: What would be the worth (in rupees) of the donated jaggery? What would be the worth (in rupees) of the donated wheat?
Solution:-
Question: Make necessary and reasonable assumptions for the unknowns and find the answers. Remember, Roxie is 13 years old and Estu is 11 years old.
Solution:-
Question: Roxie wonders, “Instead of jaggery if we use 1-rupee coins, how many coins are needed to equal my weight?”. How can we find out?
For questions like these, you can consider following the steps suggested
below.
- Guessing: Make an instinctive (quick) guess of what the answer could be, without any calculations.
Solution:-
Question 2. Calculating using estimation and approximation —
(i) Describe the relationships among the quantities that are needed to find the answer.
(ii) Make reasonable assumptions and approximations if the required information is not available.
(iii) Compute and find the answer (and check how close your guess was).
Solution:
Question: Would the number of coins be in hundreds, thousands, lakhs, crores, or even more? Make an instinctive guess.
Solution:
Question: Find the answer by making necessary and reasonable assumptions and approximations for the unknowns. Remember, we are not looking for an exact answer but a reasonably close estimate.
Estu asks, “What if we use 5-rupee coins or 10-rupee notes instead? How much money could it be?”
Solution:
Question: Make an instinctive guess first. Then find out (make necessary and reasonable assumptions about the unknown details and find the answers).
Estu says, “When I become an adult, I would like to donate notebooks worth my weight every year”. Roxie says, “When I grow up, I would like to do annadāna (offering grains or meals) worth my weight every year”.
Solution:
Question: How many people might benefit from each of these offerings in a year? Again, guess first before finding out.
Roxie and Estu overheard someone saying—“We did pādayātra for about 400 km to reach this place! We arrived early this morning.”
Solution:
Question: How long ago would they have started their journey?
Solution:
Question: Find answers by making necessary assumptions and approximations. Do guess first before calculating to check how close your guess was!
Solution:
Question: How many times can a person circumnavigate (go around the world) the Earth in their lifetime if they walk non-stop? Consider the distance around the Earth as 40,000 km.
Solution:
NCERT In-Text Questions Page 36
Linear Growth vs. Exponential Growth
Question: Can you come up with some examples of linear growth and of exponential growth?
Solution:
Getting a Sense for Large Numbers
NCERT In-Text Questions 36
Question: With a global human population of about 8 × 10 and about 4 × 105 African elephants, can we say that there are nearly 20,000 people for every African elephant?
Solution:-
Question: Calculate and write the answer using scientific notation:
(i) How many ants are there for every human in the world?
(ii) If a flock of starlings contains 10,000 birds, how many flocks could there be in the world?
(iii) If each tree had about 104 leaves, find the total number of leaves on all the trees in the world.
(iv) If you stacked sheets of paper on top of each other, how many would you need to reach the Moon?
Solution:
Question: If you have lived for a million seconds, how old would you be?
Solution:
Question: 105 seconds ≈ 1.16 days and 106 seconds ≈ 11.57 days. Think of some events or phenomena whose time is of the order of
(i) 105 seconds and
(ii) 106 seconds. Write them in scientific notation.
Solution:
Question: Calculate and write the answer using scientific notation:
(i) If one star is counted every second, how long would it take to count all the stars in the universe? Answer in terms of the number of seconds using scientific notation.
(ii) If one could drink a glass of water (200 ml) every 10 seconds, how long would it take to finish the entire volume of water on Earth?
Solution:
NCERT In-Text Questions 44 – 45
Figure it Out:
Question 1: Find out the units digit in the value of 2224 ÷ 432? [Hint: 4 = 22].
Solution:



Question 2: There are 5 bottles in a container. Every day, a new container is brought in. How many bottles would be there after 40 days?
Solution:

Question 3: Write the given number as the product of two or more powers in three different ways. The powers can be any integers.
(i) 643 (ii) 1928 (iii) 32–5
Solution:



Question 4: Examine each statement below and find out if it is ‘Always True’, ‘Only Sometimes True’, or ‘Never True’. Explain your reasoning.
(i) Cube numbers are also square numbers.
(ii) Fourth powers are also square numbers.
(iii) The fifth power of a number is divisible by the cube of that number.
(iv) The product of two cube numbers is a cube number.
(v) q46 is both a 4th power and a 6th power (q is a prime number).
Solution:






Question 5: Simplify and write these in the exponential form.
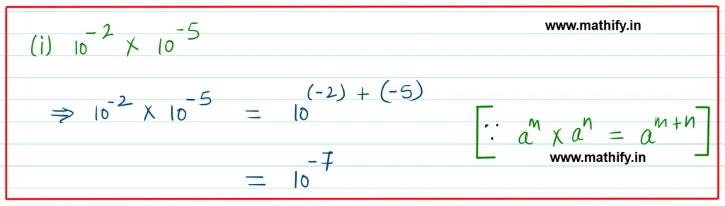
(i) 10– 2 × 10– 5
(ii) 57 ÷ 54
(iii) 9– 7 ÷ 94
(iv) (13– 2)– 3
(v) m5n12(mn)9
Solution:-





Question 6: If 122 = 144 what is
(i) (1.2)2
(ii) (0.12)2
(iii) (0.012)2
(iv) 1202
Solution:




Question 7: Circle the numbers that are the same—
(i) 24 × 36
(ii) 64 × 32
(iii) 610
(iv) 182 × 62
(v) 624
Solution:

Question 8: Identify the greater number in each of the following—
(i) 43 or 34 (ii) 28 or 82 (iii) 1002 or 2100
Solution:



Question 9: A dairy plans to produce 8.5 billion packets of milk in a year. They want a unique ID (identifier) code for each packet. If they choose to use the digits 0–9, how many digits should the code consist of?
Solution:

Question 10: 64 is a square number (82) and a cube number (43). Are there other numbers that are both squares and cubes? Is there a way to describe such numbers in general?
Solution:


Question 11: A digital locker has an alphanumeric (it can have both digits and letters) passcode of length 5. Some example codes are G89P0, 38098, BRJKW, and 003AZ. How many such codes are possible?
Solution:

Question 12: The worldwide population of sheep (2024) is about 109 , and that of goats is also about the same. What is the total population of sheep and goats?
(ii) 209 (ii) 1011 (iii) 1010 (iv) 1018 (v) 2 × 109 (vi) 109 + 109
Solution:
Sheep Population = 109
Goat Population = 109
Total Population of Sheep and Goats
= 109 + 109 = 2 x 109
Option (V) is the correct Answer.
Question 13: Calculate and write the answer in scientific notation:
(i) If each person in the world had 30 pieces of clothing, find the total number of pieces of clothing.
(ii) There are about 100 million bee colonies in the world. Find the number of honeybees if each colony has about 50,000 bees.
(iii) The human body has about 38 trillion bacterial cells. Find the bacterial population residing in all humans in the world.
(iv) Total time spent eating in a lifetime in seconds.
Solution:




Question 14. What was the date 1 arab/1 billion seconds ago?
Solution:
