A Story of Numbers Class 8 Solutions Ganita Prakash Maths Chapter 3
NCERT Solutions for Class 8 Maths Chapter 3 – A Story of Numbers (2025–26 Edition)
Explore the fascinating journey of numbers with our expertly crafted NCERT Solutions for Class 8 Maths Chapter 3 Ganita Prakash – A Story of Numbers. Aligned with the latest CBSE syllabus for the 2025–26 academic session, these solutions offer clear, step-by-step explanations that decode ancient number systems and cultural counting methods.
🔢 Key Concepts Covered:
- Evolution of number systems across civilizations
- Understanding base systems and place value
- Roman and Egyptian numerals explained
- Comparative reasoning across historical contexts
🧠 Why These Solutions Matter: Designed to spark mathematical curiosity, this chapter blends historical insights with logical reasoning. Through engaging activities and structured examples, students build a strong foundation in number sense and analytical thinking.
📘 Perfect for:
- CBSE Class 8 students seeking clarity and conceptual depth
- Teachers and parents supporting exam-readiness
- Learners curious about the origins and evolution of mathematics
NCERT In-Text Question Page 54
Reema’s Curiosity
Figure it Out
Question 1: Suppose you are using the number system that uses sticks to represent numbers, as in Method 1. Without using either the number names or the numerals of the Hindu number system, give a method for adding, subtracting, multiplying and dividing two numbers or two collections of sticks.
Solution:
Here is a practical way to operate using sticks only (no Hindu numerals or number names), like in Method 1.
➕ Addition (joining collections)
Idea: Combine and regroup.
Method
- Put both collections of sticks together in one place.
- Whenever you have a full bundle equal to one higher unit (e.g., ten loose sticks), tie them into one bundle.
- Continue regrouping until no more full bundles can be made.
- The remaining bundles and loose sticks show the result.
➖ Subtraction (taking away)
Idea: Remove sticks.
Method
- Start with the larger collection.
- Remove sticks matching the second collection.
- If you need more loose sticks, untie one higher bundle into smaller sticks.
- After removing all required sticks, what remains is the answer.
✖️ Multiplication (equal groups)
Idea: Repeat one collection several times.
Method
- Make as many identical copies of one collection as indicated by the other collection.
- Combine all copies into one pile.
- Regroup into bundles where possible.
- The final bundles and loose sticks give the product.
➗ Division (sharing equally)
Idea: Distribute fairly.
Method
- Take the full collection of sticks.
- Share them one by one into equal groups.
- If needed, untie bundles into smaller sticks to continue sharing.
- When no more equal sharing is possible:
- sticks in each group show the quotient
- leftover sticks (if any) are the remainder.
✅ This stick-based method works because bundling and unbundling naturally mimic place value and arithmetic operations without needing written numerals.
Question 2: One way of extending the number system in Method 2 is by using strings with more than one letter—for example, we could use ‘aa’ for 27. How can you extend this system to represent all the numbers? There are many ways of doing it!
Solution:
Below is one clear way to extend Method 2 so that multi-letter strings represent all quantities.
Assume the letters are ordered: a, b, c, …, z.
📊 Table 1: Single-letter representations (up to 26)
Assume ordered letters: a, b, c, …, z
| Order | Symbol |
|---|---|
| 1 | a |
| 2 | b |
| 3 | c |
| 4 | d |
| 5 | e |
| … | … |
| 24 | x |
| 25 | y |
| 26 | z |
📊 Table 2: Two-letter representations (starting after 26)
| Order | Symbol |
|---|---|
| 27 | aa |
| 28 | ab |
| 29 | ac |
| 30 | ad |
| … | … |
| 51 | ay |
| 52 | az |
| 53 | ba |
| 54 | bb |
| … | … |
📊 Table 3: Three-letter representations (after all two-letter strings)
| Order | Symbol |
|---|---|
| After zz | aaa |
| Next | aab |
| Next | aac |
| Next | aad |
| … | … |
✅ Pattern:
1-letter → 2-letter → 3-letter → continues without limit.
Question 3: Try making your own number system.
Solution:
NCERT In-Text Question Page 59
3.2 Some Early Number Systems
Figure it Out
Question: Represent the following numbers in the Roman system.
(i) 1222
(ii) 2999
(iii) 302
(iv) 715
Solution:-

NCERT In-Text Question Page (60-61)
Figure it Out
Question: A group of indigenous people in a Pacific island use different sequences of number names to count different objects. Why do you think they do this?
Solution:
They likely use different number-name sequences because their counting system is object-specific, designed to match how items are grouped in daily life.
First, many Pacific cultures traditionally count some objects in natural bundles (like pairs of coconuts, sets of fish, or bundles of yams). Using different sequences makes counting faster and more meaningful for trade and sharing.
Second, it reduces mistakes. When each type of object has its own counting words, listeners immediately know what is being counted and in what grouping.
Third, it reflects practical needs. Communities that depend heavily on fishing, farming, or trading often develop specialised counting systems suited to those activities.
Fourth, such systems can encode cultural knowledge and traditions, not just mathematics.
If they used only one universal sequence, they would have to repeatedly convert between bundles and single items, which would be slower and less intuitive for their everyday work.
So, these multiple sequences are an efficient, context-based adaptation to their environment and way of life.
Question: Consider the extension of the Gumulgal number system beyond 6 in the same way of counting by 2s. Come up with ways of performing the different arithmetic operations (+, –, ×, ÷) for numbers occurring in this system, without using Hindu numerals. Use this to evaluate the following:
(i) (ukasar-ukasar-ukasar-ukasar-urapon) + (ukasar-ukasarukasar-urapon)
(ii) (ukasar-ukasar-ukasar-ukasar-urapon) – (ukasar-ukasarukasar)
(iii) (ukasar-ukasar-ukasar-ukasar-urapon) × (ukasar-ukasar)
(iv) (ukasar-ukasar-ukasar-ukasar-ukasar-ukasar-ukasar-ukasar) ÷ (ukasar-ukasar)
Solution:
Using the extended counting-by-2 system:
- ukasar = one
- urapon = two
- ukasar-ukasar = urapon
(i) (ukasar-ukasar-ukasar-ukasar-urapon) + (ukasar-ukasarukasar-urapon)
(ukasar-ukasar)-(ukasar-ukasar)-urapon-(ukasar-ukasar)-ukasar-urapon
urapon-urapon-urapon-urapon-urapon-ukasar
(ii) (ukasar-ukasar-ukasar-ukasar-urapon) – (ukasar-ukasar-ukasar)
(ukasar–ukasar–ukasar-ukasar-urapon) – (ukasar–ukasar–ukasar)
ukasar-urapon
(iii) (ukasar-ukasar-ukasar-ukasar-urapon) × (ukasar-ukasar)
Question: Identify the features of the Hindu number system that make it efficient when compared to the Roman number system.
Solution:
The Hindu–Arabic number system is far more efficient than the Roman system because of several key features:
1. Place value system
In the Hindu system, the position of a digit determines its value (e.g., 2 in 205). Roman numerals have no true place value, making large numbers harder to manage.
2. Presence of zero (0)
Zero acts both as a number and a placeholder. Roman numerals have no zero, which makes writing and calculating with large numbers difficult.
3. Small set of symbols
The Hindu system uses only ten digits (0–9) to write any number. Roman numerals require many different symbols and long repetitions.
4. Compact representation
Large numbers are written briefly (e.g., 10,000 vs very long Roman forms). Roman numerals quickly become lengthy and cumbersome.
5. Ease of arithmetic operations
Addition, subtraction, multiplication, and division are straightforward using the Hindu system’s column methods. Roman numerals are very inconvenient for calculations.
6. Supports advanced mathematics
The Hindu system makes algebra, decimals, and modern computation possible. Roman numerals are mainly suitable only for simple counting and labeling.
7. Scalability
The Hindu place-value system can represent extremely large numbers easily, while Roman numerals become impractical.
✅ Because of place value and zero, the Hindu number system is powerful, compact, and calculation-friendly.
Question 4: Using the ideas discussed in this section, try refining the number system you might have made earlier.
Solution:
Try it Yourself.
NCERT In-Text Page (62)
3.3 The Idea of a Base
Figure it Out
Question 1: Represent the following numbers in the Egyptian system: 10458, 1023, 2660, 784, 1111, 70707.
Solution:

Question 2: What numbers do these numerals stand for?

Solution:

NCERT In-Text Page 63
Figure it Out
Question 1: Write the following numbers in the above base-5 system using the symbols in Table 2: 15, 50, 137, 293, 651.
Solution:

Question 2: Is there a number that cannot be represented in our base-5 system above? Why or why not?
Solution:
Yes. Zero (0) cannot be represented in our base-5 system as there is no symbol for it.
Question 3: Compute the landmark numbers of a base-7 system. In general, what are the landmark numbers of a base-n system? The landmark numbers of a base-n number system are the powers of n starting from n0 = 1, n, n2 , n3 ,…
Solution:
70 = 1, 71 = 7, 72 = 49, 73 = 343, 74 = 2401
Hence, 1, 7, 49, 343, 2401 are landmark numbers of base 7.
The landmark numbers of a base-n number system are the powers of n starting from
n0 = 1, n, n2, n3,…
NCERT In-Text Question Page 65
Figure it Out
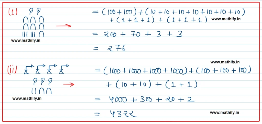
Question 1: Add the following Egyptian numerals:

Solution:


Question 2: Add the following numerals that are in the base-5 system that we created:

Solution:

NCERT In-Text Question Page 66-68
How to multiply two numbers in Egyptian numerals? Let us first consider the product of two landmark numbers.
Q. 1. What is any landmark number multiplied by (that is 10)? Find the
following products—

Each landmark number is a power of 10 and so multiplying it with 10 increases the power by 1, which is the next landmark number.
Solution:-
Q. 2. What is any landmark number multiplied by (102)? Find the following products—

Solution:-
Q. 3. Find the following products—

Thus, the product of any two landmark numbers is another landmark
number!
Solution:-
Q. 4 Does this property hold true in the base-5 system that we created? Does this hold for any number system with a base?
Solution:-
Q. Now find the following products—

Solution:-
NCERT In-Text Question Page 69-70
Figure it Out
Question 1: Can there be a number whose representation in Egyptian numerals has one of the symbols occurring 10 or more times? Why not?
Solution:
No, there cannot be a number in the Egyptian numeral system where any single symbol appears 10 or more times.
Why?
The Egyptian number system is an additive, base-10 system with a key rule:
👉 Each symbol can be repeated at most 9 times.
When a symbol would need to appear 10 times, Egyptians replaced those ten symbols with one symbol of the next higher value.
Example
- Instead of writing ten symbols for 1
(𓏺𓏺𓏺𓏺𓏺𓏺𓏺𓏺𓏺𓏺)
they wrote one symbol for 10. - Instead of ten symbols for 10, they wrote one symbol for 100.
Reason
This keeps the numeral representation:
- shorter
- more organized
- easy to read
So, by the rules of the Egyptian system, no symbol ever appears 10 or more times in a standard representation.
Question 2. Create your own number system of base 4, and represent numbers from 1 to 16.
Solution:
Question 3: Give a simple rule to multiply a given number by 5 in the base-5 system that we created.
Solution:
NCERT In-Text Question Page 73
Figure it Out
Question 1: Represent the following numbers in the Mesopotamian system —
(i) 63
(ii) 132
(iii) 200
(iv) 60
(v) 3605
Solution:

NCERT In-Text Question Page 80
Figure it Out
Question 1: Why do you think the Chinese alternated between the Zong and Heng symbols? If only the Zong symbols were to be used, how would 41 be represented? Could this numeral be interpreted in any other way if there is no significant space between two successive positions?
Solution:
Question 2: Form a base-2 place value system using ‘ukasar’ and ‘urapon’ as the digits. Compare this system with that of the Gumulgal’s.
Solution:
Question 3: Where in your daily lives, and in which professions, do the Hindu numerals, and 0, play an important role? How might our lives have been different if our number system and 0 hadn’t been invented or conceived of?
Solution:
- Hindu numerals and 0 are used daily in money, time, measurements, and phone numbers.
- Every digital payment, bill, and price depends on this number system.
- In schools, students use it for arithmetic, algebra, and geometry.
- Scientists and engineers rely on it for calculations and formulas.
- Doctors use it for medicine dosages and medical reports.
- Businesses and banks need it for accounting and financial transactions.
- Computers work on binary (0 and 1), so modern technology depends on zero.
- Zero is vital as a placeholder (like in 205) and as a number itself.
- Without this system, calculations would be slow and confusing (like Roman numerals).
- Our scientific, technological, and economic progress would be far behind today.
🔢 Comparison: Roman Numerals vs Hindu–Arabic Numerals
| Feature | Hindu–Arabic Numerals | Roman Numerals |
|---|---|---|
| Symbols | 0–9 (ten digits) | I, V, X, L, C, D, M |
| Place value | Yes (position matters) | No place value |
| Zero | Has 0 | No zero |
| Large numbers | Easy to write | Long and complex |
| Arithmetic | Easy to calculate | Difficult to calculate |
✏️ Examples
1. Writing numbers
- Hindu: 205
- Roman: CCV (no zero needed, but place value missing)
2. Addition (48 + 27)
- Hindu:
48 + 27 = 75 (quick column method) - Roman:
XLVIII + XXVII → needs conversion → LXXV (cumbersome)
3. Multiplication (12 × 8)
- Hindu:
12 × 8 = 96 (straightforward) - Roman:
XII × VIII → must convert to decimal first → XCVI
✅ Conclusion
The Hindu–Arabic system with zero is far more efficient and made modern mathematics, science, and computing possible, while Roman numerals are mainly useful today for numbering (like clocks or chapters).
Question 4: The ancient Indians likely used base 10 for the Hindu number system because humans have 10 fingers, and so we can use our fingers to count. But what if we had only 8 fingers? How would we be writing numbers then? What would the Hindu numerals look like if we were using base 8 instead? Base 5? Try writing the base-10 Hindu numeral 25 as base-8 and base-5 Hindu numerals, respectively. Can you write it in base-2?
Solution:
🌟 If humans had fewer fingers…
The Hindu–Arabic numeral system we use today is base-10 (decimal) mainly because counting with ten fingers is convenient.
- If we had 8 fingers, our place-value system would likely be base-8 (octal).
- With 5 fingers, probably base-5.
- With 2 fingers, we would naturally use base-2 (binary).
🔢 What would the numerals look like?
The shapes of symbols might have evolved differently, but the key idea is:
- In base-10, digits are 0–9
- In base-8, digits would be 0–7
- In base-5, digits would be 0–4
- In base-2, digits are 0 and 1
Now let’s convert the number 25 (base-10).
✅ Convert 25 to base-8
Divide by 8:
- 25 ÷ 8 = 3 remainder 1
- 3 ÷ 8 = 0 remainder 3
Read upward → 31₈
✔️ 25₁₀ = 31₈
✅ Convert 25 to base-5
Divide by 5:
- 25 ÷ 5 = 5 remainder 0
- 5 ÷ 5 = 1 remainder 0
- 1 ÷ 5 = 0 remainder 1
Read upward → 100₅
✔️ 25₁₀ = 100₅
✅ Convert 25 to base-2 (binary)
Divide by 2:
- 25 ÷ 2 = 12 remainer 1
- 12 ÷ 2 = 6 remainer 0
- 6 ÷ 2 = 3 remainer 0
- 3 ÷ 2 = 1 remainer 1
- 1 ÷ 2 = 0 remainer 1
Read upward → 11001₂
✔️ 25₁₀ = 11001₂
🧠 Summary
| Base | Representation of 25 |
|---|---|
| Base-10 | 25 |
| Base-8 | 31 |
| Base-5 | 100 |
| Base-2 | 11001 |