NCERT Solutions For Class 11 Maths Chapter 1 Sets Exercise 1.4 – 2025-26
📘 Class 11 Maths Chapter 1 – Questions and Answers (Exercise 1.4)
🆓 Free PDF Download – NCERT Solutions by Mathify.in
NCERT Solutions for Class 11 Maths Chapter 1: Sets – Exercise 1.4 (2025–26) by Mathify.in cover essential set operations like union, intersection, and difference. These foundational concepts help you understand how different sets interact, and are explained with easy-to-follow, step-by-step solutions.
🧠 What You’ll Learn in Exercise 1.4
- 🔹 Union of sets and how to represent it
- 🔹 Intersection and common elements
- 🔹 Difference between sets
- 🔹 Venn diagrams and set notation
- 🔹 Real-world applications of set operations
❓ Confused by Venn Diagrams or Set Notation?
If set notation or Venn diagrams seem tricky, Mathify.in’s NCERT Solutions simplify everything with clear visuals and logical steps. These solutions follow the latest CBSE syllabus for 2025–26, making them perfect for revision, homework, and exam prep.
📥 What You’ll Get from Mathify.in
- ✅ Detailed NCERT Solutions for Exercise 1.4
- ✅ Free PDF Download for offline access
- ✅ Quick revision notes and concept summaries
- ✅ Access to the full Class 11 Maths syllabus and all chapter-wise solutions
🎯 Why This Chapter Matters
Set operations are a key part of Class 11 and 12 Maths, and this chapter alone carries 23 marks in the CBSE exam. Mastering these concepts boosts your confidence and accuracy—not just for board exams, but also for competitive tests and higher-level math.

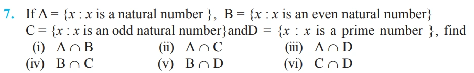
Solution:-

Solution:-

Solution:-

Solution:-

Solution:-

Solution:-

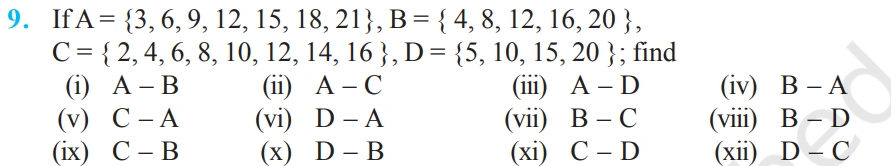
Solution:-

Solution:-

Solution:-

Solution:-

Solution:-

Solution:-