NCERT Solutions For Class 11 Maths Chapter 2 Relations And Functions Exercise 2.1 – 2025-26
📘 Maths Class 11 Chapter 2 – Questions and Answers
Free PDF Download | NCERT Solutions by Mathify.in
In NCERT Solutions Class 11 Maths Chapter 2 Exercise 2.1, you’ll explore the fascinating world of Relations and Functions. This chapter introduces you to how different sets interact, and how to work with Cartesian products and ordered pairs—concepts that form the foundation of your entire Maths journey.
With clear examples and step-by-step solutions from Mathify.in, each question becomes easier to understand and solve. Whether you’re practicing for school tests or preparing for CBSE board exams, these solutions are designed to eliminate confusion and boost your confidence.
📝 Why Use Mathify.in’s NCERT Solutions?
- ✅ Free downloadable PDF for offline access and quick revision
- ✅ CBSE-aligned explanations for exam-readiness
- ✅ Exercise-wise breakdown for focused practice
- ✅ Student-friendly formatting with definitions, properties, and solved examples
If you’re ever stuck or want to verify your answers, simply refer to the free NCERT Solutions PDF. It’s perfect for last-minute revision or daily practice. For better context, check the Class 11 Maths syllabus to see how this chapter fits into your academic roadmap.
📚 Topics Covered in Chapter 2:
- Cartesian Product of Sets
- Relations: Definition, Types, Domain & Range
- Functions: Types and Properties
By practicing regularly with Mathify.in’s solutions, even the trickiest questions on relations, functions, and sets will start making sense. Build your conceptual clarity and ace your CBSE exams with confidence!
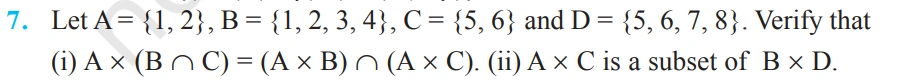
Access NCERT Solutions for Maths Class 11 Chapter 2 – Relations and Functions Exercise 2.1

Solution:-

Solution:-

Solution:-

Solution:-

Solution:-

Solution:-

Solution:-

Solution:-

Solution:-

Solution:-